【万化-新闻资讯】浙江女子发现金手镯“变轻”报警 ...2026-03-02
【万化-新闻资讯】安徽含山农商银行董事长黄晓武涉嫌...2026-02-25
【万化-新闻资讯】柬埔寨开展“雷霆行动”打击电诈 ...2026-02-07
【万化-新闻资讯】吉林计划2026年开工建设长四辽...2026-02-06
【万化-新闻资讯】离谱!成本150元卖2400元,...2026-02-05
【万化-新闻资讯】菏泽一男子为“寻求刺激”报假警被...2026-02-04
大家都知道表面活性剂的分子结构具有两亲性,一端是亲水基团,另一端是疏水基团 。这一特殊结构使得它能够在不同界面上发挥奇妙的作用,而在抗静电方面,其作用机制主要体现在以下几个关键方面:
降低表面电阻:表面活性剂能够在纤维或物体表面形成一层定向排列的吸附膜 。
以阳离子表面活性剂为例,它很容易通过自身所带的正电荷吸附到带负电荷的纤维表面上 。
在这个过程中,阳离子表面活性剂以带正电荷的季铵离子吸附于纤维表面,而疏水的碳氢链向外,形成一层以碳氢链组成的定向排列的吸附膜。
这层吸附膜就像是给纤维表面铺上了一条 “导电通道”,能有效地降低纤维表面的电阻,使电荷更容易流动,从而减少静电的积累。
就好比在一条原本崎岖难行的道路上铺上了平坦的高速公路,车辆(电荷)能够更顺畅地行驶,不再容易拥堵(静电积累)。
增加表面导电性:对于极性低、疏水性强的合成纤维,表面活性剂的作用更为显著。
阳离子表面活性剂以其疏水的碳氢链通过范德华力吸附于纤维表面,而极性的季铵基则朝外,使纤维表面覆盖着亲水的极性基 。
这些亲水的极性基就像一个个 “小海绵”,能够吸收周围环境中的水分,从而增加纤维表面的导电性。我们知道,水是一种良好的导电介质,当纤维表面有了一层由水分和表面活性剂组成的导电层后,静电就能够迅速地通过这个导电层传导出去,避免了静电的积聚。
这就如同在干燥的沙漠中引入了一条河流,让原本难以流动的电荷有了快速流动的通道。
吸附水分形成导电层:除了上述作用,表面活性剂还能直接吸附水分,进一步增强抗静电效果。特别是在空气湿度较低的环境中,这一作用尤为重要。
当表面活性剂分子吸附在物体表面后,其亲水基团会与空气中的水分子相互作用,形成一层薄薄的水膜 。这层水膜不仅增加了表面的导电性,还能起到润滑剂的作用,降低物体表面的摩擦系数,减少因摩擦产生的静电。
打个比方,这层水膜就像是给物体表面涂上了一层 “润滑剂”,让物体之间的摩擦变得更加顺畅,从而减少了静电的产生。同时,它又像一个 “导电桥梁”,将物体表面的电荷及时传导出去,保持物体表面的静电平衡。
综上所述,表面活性剂通过降低表面电阻、增加表面导电性以及吸附水分形成导电层等多种方式,有效地发挥了抗静电作用,为我们解决了生活和生产中的诸多静电难题 。
常见抗静电表面活性剂种类
阳离子型表面活性剂
阳离子型表面活性剂,作为抗静电领域的重要一员,有着独特的 “个性”。从结构上看,它的分子中带有正电荷的阳离子基团,这就使得它在与其他物质相互作用时,有着与众不同的表现。

阳离子型表面活性剂的极性较高,这赋予了它强大的抗静电能力,能够迅速地中和物体表面的负电荷,从而有效减少静电的产生和积累 。
它对高分子材料的附着力也较强,能够紧密地吸附在材料表面,形成一层稳定的抗静电保护膜 。
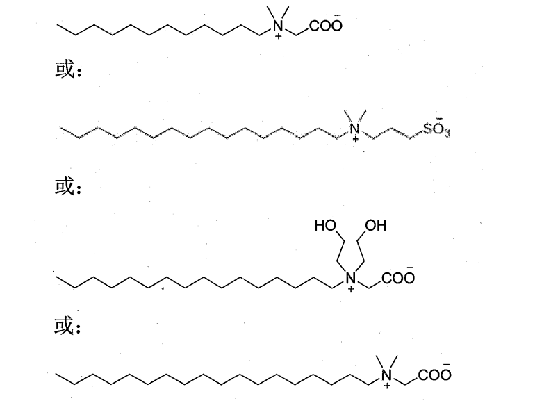
在众多阳离子型抗静电剂中,季铵盐类是最为常见的。像十二烷基二甲基苄基氯化铵,它还有个大家更熟悉的商品名 ——1227,洁尔灭,苯扎氯铵 。
它可是个 “多面手”,不仅具有良好的抗静电性能,还拥有出色的杀菌、乳化和柔软调理等多种性能 。
在织物处理中,它可以作为抗静电剂,让衣物不再因为静电而 “相互排斥”,穿起来更加舒适;同时,它的杀菌性能又能有效杀灭织物上的细菌,保持衣物的清洁卫生 。
还有十六烷基三甲基氯化铵(1631)和十八烷基三甲基氯化铵(1831),它们在护发剂和织物柔软剂中发挥着重要作用,不仅能赋予头发和织物柔软的触感,还能有效消除静电,让头发更加顺滑,织物更加亲肤 。
不过,阳离子型表面活性剂也有一些 “小缺点”。它的热稳定性相对较差,在高温环境下容易分解,从而影响其抗静电效果 。而且,它对热敏性树脂的热稳定性也有不良影响,在使用时需要特别注意 。
此外,部分阳离子型表面活性剂还存在不同程度的毒性或刺激性,所以在食品包装材料等对安全性要求较高的领域,不宜使用 。
在使用阳离子型表面活性剂时,我们需要充分了解它的特性,根据实际情况合理选择和使用,以发挥其*的抗静电优势 。
两性离子型表面活性剂
两性离子型表面活性剂,就像是一个 “变色龙”,在不同的环境中能够展现出不同的特性 。

它的分子结构十分独特,同时含有阳离子和阴离子基团,这使得它在不同的 pH 值条件下,能够表现出不同的性质 。当 pH 值在等电点范围内时,表面活性剂呈中性;在等电点以上,它会呈现出阴离子表面活性剂的性质,具有良好的起泡、去污作用;而在等电点以下,则表现出阳离子表面活性剂的性质,拥有很强的杀菌能力 。
这种特殊的性质使得两性离子型表面活性剂在抗静电领域有着出色的表现 。在不同的环境中,它都能有效地发挥抗静电作用,不受 pH 值变化的影响 。
与阳离子型和阴离子型表面活性剂相比,两性离子型表面活性剂的适应性更强,能够在更广泛的条件下保持稳定的抗静电性能 。
它还具有良好的配伍性,可以与阴、阳、非离子型表面活性剂和谐共处,共同发挥作用 。
这就意味着在实际应用中,我们可以将它与其他类型的表面活性剂复配使用,从而获得更加优异的抗静电效果 。
在纺织工业中,两性离子型表面活性剂常被用作织物柔软剂和抗静电剂 。它能够吸附在纤维表面,形成一层保护膜,不仅可以减少纤维之间的摩擦,使织物更加柔软顺滑,还能有效消除静电,让衣物在穿着过程中更加舒适 。
在丝绸精练和腈纶纤维后处理中,常用的柔软剂 SCM 就属于两性离子型表面活性剂,它能够赋予丝绸和腈纶纤维良好的手感和抗静电性能,提升产品的品质 。
非离子型表面活性剂
非离子型表面活性剂,虽然在分子结构中没有可解离的离子,但它在抗静电领域同样有着不可忽视的作用 。
它的抗静电原理主要是通过其分子中的亲水基团,吸收空气中的水分,在物体表面形成一层薄薄的水膜,从而增加表面的导电性,使静电能够迅速地传导出去 。
非离子型表面活性剂在一些特殊领域有着独特的应用优势 。对于一些对离子敏感的材料,如某些电子元件、光学材料等,使用离子型表面活性剂可能会对其性能产生不良影响,而非离子型表面活性剂则不会有这样的问题 。
它的刺激性较低,对皮肤和眼睛的伤害较小,因此在一些与人体直接接触的产品中,如化妆品、个人护理产品等,非离子型表面活性剂也被广泛应用 。
在护肤品中,它可以作为乳化剂和抗静电剂,使产品质地更加细腻,同时减少静电对皮肤的刺激 。
在纺织行业中,非离子型表面活性剂也是常用的抗静电剂之一 。它可以与其他助剂复配使用,用于纤维的纺丝、织造和后整理等过程,有效提高纤维的抗静电性能,减少静电对生产过程和产品质量的影响 。
脂肪醇聚氧乙烯醚(AEO),它是一种常见的非离子型表面活性剂,具有良好的抗静电性能和乳化性能 。
在化纤油剂中,AEO 可以作为主要成分之一,为纤维提供抗静电和润滑作用,使纤维在加工过程中更加顺畅 。
表面活性剂抗静电应用场景
纺织领域
在纺织领域,表面活性剂的抗静电作用可谓是不可或缺。我们都知道,纺织品在加工和使用过程中,由于纤维之间的摩擦,很容易产生静电。静电不仅会让衣物 “不听话”,出现吸附灰尘、贴身等问题,影响穿着的舒适性和美观度,还会在纺织加工过程中导致纤维缠绕、飞花等问题,影响生产效率和产品质量 。
为了解决这些问题,表面活性剂常常被用于纺织品的抗静电整理。
常见的处理方法有浸轧法,就是将织物浸泡在含有表面活性剂的溶液中,然后通过轧辊挤压,使溶液均匀地分布在织物表面,再经过烘干和焙烘等后续处理,使表面活性剂与织物牢固结合,从而赋予织物抗静电性能 。
还有浸渍法,将织物完全浸泡在抗静电整理液中一段时间,让表面活性剂充分渗透到纤维内部,这种方法适用于对均匀性要求较高的织物 。
塑料行业
在塑料行业,表面活性剂同样发挥着重要的抗静电作用 。塑料制品由于其绝缘性好,在生产、运输和使用过程中极易产生静电 。
静电的存在会使塑料制品表面吸附灰尘,影响产品的外观和性能 。在一些电子设备中,塑料制品产生的静电还可能对电子元件造成损害,影响设备的正常运行 。
表面活性剂可以通过在塑料制品表面形成一层导电膜,来降低表面电阻,使静电能够迅速地传导出去 。
在塑料加工过程中,将表面活性剂添加到塑料原料中,然后通过挤出、注塑等工艺,使表面活性剂均匀地分布在塑料制品中 。这样生产出来的塑料制品就具有了抗静电性能 。还有一种方法是在塑料制品成型后,将表面活性剂溶液涂覆在其表面,形成一层抗静电保护膜 。
在电子元件的制造过程中,常常使用抗静电塑料生产工作台,以减少静电对生产设备的干扰 。
在产品装配过程中,会使用抗静电塑料生产电子元器件转运托盘和包装盒,避免静电对电子元件造成损害 。
在汽车内饰中,也有很多应用抗静电塑料的地方,如天窗遮阳板塑料格栅、B 柱安全带高调器滑板等零件,这些零件使用中易产生和积聚静电荷,使用抗静电塑料可以有效解决这一问题 。
日常生活用品
在日常生活中,我们也能发现许多含有表面活性剂的抗静电产品,它们默默地为我们解决着静电带来的困扰 。
防静电喷雾就是其中一种常见的产品 。它的工作原理是利用喷雾中的表面活性剂,尤其是季铵盐类阳离子表面活性剂,来降低衣物表面的静电 。
当我们将防静电喷雾喷洒在衣物上时,活性剂分子会在衣物表面形成一层保护膜,改变织物的表面特性,使其更能吸收空气中的水分,进而增强导电性,减少静电的积累 。
使用防静电喷雾时,要注意将其与衣服保持适当距离,一般 15 - 20 厘米左右比较合适,这样可以确保均匀喷洒,避免在衣物上形成斑点 。
喷完后,*轻轻拍打一下衣物,让活性剂更好地发挥作用 。不过,防静电喷雾在空气湿度极低时效果会大打折扣,因为它需要水分来维持抗静电性能,而且喷后的效果也不会持久,不能指望它一次喷洒就能完全消除静电 。
如果不想购买专门的防静电喷雾,我们还可以自制一个平替版本,在水中加入少量的衣物柔顺剂进行喷洒,效果类似于防静电喷雾 。
在使用衣物柔顺剂时,要按照产品说明的用量添加,过量使用可能会导致衣物残留过多的柔顺剂,影响衣物的透气性 。而且,柔顺剂*在*一次漂洗时加入,这样可以确保它充分发挥作用 。